環氧樹脂地坪的發展歷史及應用
在19世紀末和20世紀初有兩個重大的發現,揭示了環氧樹脂地坪的合成發明的序幕。早在1891年,德國化學家Lindmann采用對苯二酚與環氧氯丙烷反應,可以得到樹脂狀的產物。
1909年俄國化學家Prileschajew發現采用過氧化苯甲酰可使烯烴氧化生成環氧化合物。時至今日,這兩個反應依然是環氧樹脂地坪的主要合成路線,但是它的使用價值沒有被揭示。
環氧樹脂地坪的真正研究是從20世紀30年代開始的,1934年德國的Schlack首先用胺化合物使含有大于一個環氧基的化合物聚合制得高分子聚合物,并由I.G.染料公司作為德國的專利發表。因第二次世界大戰而未能在美國取得專利權。
隨后,瑞士的PierreCastan和美國的S.O.Greelee所發表的多項專利都揭示了雙酚A和環氧氯丙烷經縮聚反應能制得液體環氧樹脂地坪,用有機多元胺和二元酸均可使其固化,并且具有優良的粘接性。
這些研究成果促使了美國DeVoe-Raynolds公司在1947年進行了第一次具有工業生產價值的環氧樹脂地坪制造,并且指出在一些特殊領域它是一種性能優于酚醛和聚酯的新型樹脂。
不久,瑞士的Ciba公司、美國的Shell以及DowChemical公司都開始了環氧樹脂地坪的工業化生產及應用開發工作。當時環氧樹脂地坪在金屬材料的粘接和防腐涂料等應用方面已有了突破,于是環氧樹脂地坪作為一個行業蓬勃地發展起來了。
環氧樹脂地坪大規模生產和應用還是從1948年以后相繼開始的。1955年,四種基本環氧樹脂地坪在美國獲得了生產許可證。DowChemical公司建立了環氧樹脂地坪生產線。由于它具有一系列優良的性能,所以在工業上發展很快,不僅產量迅速增加,而且新品種不斷涌現。
環氧樹脂地坪的分類
環氧樹脂地坪的種類很多,且在不斷地發展,因此,明確地進行分類是困難的。按化學結構分類在類推固化樹脂的化學及力學性能研究等方面是便利的。
環氧樹脂按化學結構分類
環氧樹脂地坪按化學結構可大致分為以下幾類。
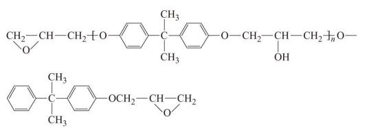
(1)縮水甘油醚類其中的雙酚A縮水甘油醚樹脂簡稱為雙酚A型環氧樹脂地坪,是應用最廣泛的環氧樹脂地坪,其化學結構式為:

雙酚F型環氧樹脂地坪,其化學結構式為:

雙酚S型環氧樹脂地坪,其化學結構式為:

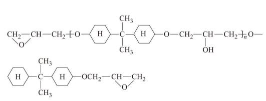
氫化雙酚A型環氧樹脂地坪,其化學結構式為:

酚醛型環氧樹脂地坪,其化學結構式為:

脂肪族縮水甘油醚樹脂,其化學結構式為:

溴代環氧樹脂地坪,其化學結構式為:

(2)縮水甘油酯類鄰苯二甲酸二縮水甘油酯等,其化學結構式為:
(3)縮水甘油胺類其通式為:
其中四縮水甘油二氨基二苯甲烷結構式為:

(4)脂環族環氧樹脂地坪其化學結構式為:
(5)環氧化烯烴類其化學結構式為:
(6)新型環氧樹脂地坪
海因環氧樹脂地坪,其化學結構式為:

酰亞胺環氧樹脂地坪,其化學結構式為:

含無機元素等的其他環氧樹脂地坪,如有機硅環氧樹脂地坪以及有機鐵環氧樹脂地坪等。
環氧樹脂按狀態分類
在實際使用上,按在室溫條件下所呈現的狀態來分類是很重要的。這樣環氧樹脂地坪可分為液態環氧樹脂地坪和固態環氧樹脂地坪。屬于液態環氧樹脂地坪的僅僅是一小部分低分子量樹脂,如通用型DGEBA,n值為0.7以下,在室溫下呈現為黏稠的液體,作為無溶劑成膜材料使用的就是此類環氧樹脂地坪。固態環氧樹脂地坪通常以薄片狀來使用。此處所說的固態環氧樹脂地坪不是B階段化樹脂,脂,這類樹脂供粉末涂料的黏料和固態成型材料使用。
環氧樹脂按制造方法分類
①由環氧氯丙烷與相應的醇、酚、酸、酸縮合而成,如所述的前三類屬于此類。
②由過氧酸(通常用過乙酸)與烯類化合物的雙鍵加成而得到,如所述的脂環族環氧樹脂地坪和環氧化烯烴類樹脂。
